在MOSFET开关中,栅极驱动器(Gate Driver)承担着为其充电与放电的关键任务,而这背后的能量转换过程,直接影响驱动系统的效率与热设计。传统功率损耗公式虽广泛使用,但在某些应用场景中存在物理理解上的偏差。本文将以多个典型充放电模型为切入点,重新剖析驱动电路中能量的真实流向,并进一步探讨寄生电感对系统能量守恒的影响,为工程师提供更精确的能量估算依据与器件选型参考。

1. 常用的驱动电路功率损耗计算公式


对于功率损耗的计算,计算公式如下:
PON和POFF的公式把这部分功率一分为二,一半消耗在电阻上,一半存储在电容中,放电时电容中的能量再通过电阻消耗掉。
显然(1)和(2)成立的条件是——充电过程中,电阻上消耗的能量等于电容上存储的能量。但此假设一定成立吗?很明显电阻等于0的时候不成立。那么电阻不等于0的时候呢?
2. 恒压源对MOS的充电
MOS充电波形示意如图3,I-V曲线如图4:

图3

图4

CGS和CGD可以在纳芯微MOS datasheet中查到,CISS= CGS+CGD,CRSS= CGD
MOS在饱和区由于米勒效应,CGD会被放大(1+AV/V)倍,其中AV/V代表MOS饱和区的放大倍数。
CGD随着电压的变化而变化,对于大多数MOS,有如下近似公式:

阶段(1)(2)(4) CISS=近似为CGS和CGD_AVG并联。阶段(3),VGS基本保持不变,CGS不起作用,驱动对CGD恒流充电。



电容储能总小于电阻功耗,电容越接近充满,两者越接近相等。

3. 电容对MOS的充电
实际电路中,驱动芯片给MOS充电时,充电电流大部分都是由电容提供,因此可以近似认为驱动电路是电容给电容充电的模型。

对比恒压源对电容充电公式,VDRV变为VDRV_AVC,因为电源电容电压在下跌,因此取充电过程的平均值。






由式(15)可知,电源电容输出的能量大于电阻耗能+电容储能。

4. MOS的放电
设电容初始电压UG,终止电压Uo=kUG,放电持续时间为T

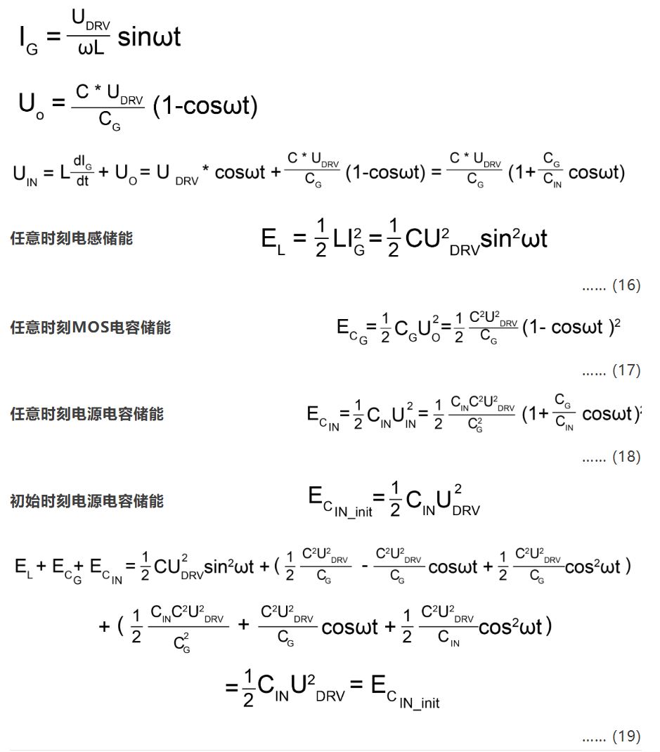
寄生电感的作用
充电回路相当于一匝的线圈,形成寄生电感,图6的模型更接近实际电路。

在如图3区域(3),近似恒流充电,电感的作用忽略,因此不作分析。
设电源电容CIN初始电压为UDRV,时刻电压为UIN;门极电容:CG=CGS+CGD_AVG;充电终止CG电压Uo=k*UDRV;充电持续时间为T;充电电流为IG;计生电感L。

由于IG和Uo的时域公式非常复杂,T的表达式无法求出,也无法通过公式计算电阻的耗能。因为电阻的影响只是消耗一部分能量,把这部分能量降为0,也就是令电阻等于0,电路中只有L和C,以简化分析。

由式 (19)可知电能守恒,没有额外的能量损失。当然,交变的电磁场,还是会辐射能量,但因为电感的存在,抑制了电流的变化率。
结论与建议
通过对不同充电模型下电阻损耗、电容储能、电源能量输出之间关系的定量分析,本文指出传统“电源能量一分为二”的假设并非总是成立。特别是在驱动电压高于2倍米勒电平时,栅极电阻的能量损耗常常大于电容储能;而在电容对电容充电的模型中,能量分布又呈现出不同特性。此外,MOS关断时所有储能都通过电阻耗散,而寄生电感则在一定程度上抑制了能量损失。理解这些能量路径对精确设计高效Gate Driver系统至关重要,尤其在追求高频、高密度、高可靠性的电源应用中更显价值。
文章来源:纳芯微电子