2. 第二章——信号与系统-2
2.2 采样理论
如图2.5所示,连续时间模拟信号可通过采样和量化转换为离散时间数字信号,其中连续模拟输入信号 xa(t)被转换为离散数字输出信号 x[n]。采样是将连续时间信号转换为离散时间信号的过程,即在离散时间时刻对连续时间信号取样[1]。
量化过程将样本振幅转换为数字格式。
第2.2.1节将介绍一种常用的采样方法;即,均匀采样。
同样,离散时间信号也可以通过重构转换为连续时间信号。然而,重构并不总是成功。
有时,重构信号与原始信号不一致。因为对于给定的采样信号,可以存在无限多个不同的连续时间信号,这些信号均能匹配相同的量化采样点。但是,如果采样满足特定条件,信号即可无信息损失地被重构。该条件称为奈奎斯特采样定理,将在第2.2.3节和第2.5.1节中介绍。
2.2.1 均匀采样
模拟信号采样为数字表示的方法有多种。但是,如果我们规定采样间隔为常数Ts时,我们

图2.4 理想12位ADC的FFT输出,fa=2.111MHz, fs=82MSPS,5次FFT平均,M=8192。数据由ADIsimADC® [6]生成。

图2.5 模数转换器(ADC)的基本组成部分[1]。 采样发生在采样器块中。 xa(t)=模拟连续时间信号; fs为数字采样率; xa[n]为离散时间连续模拟信号; xq[n]为离散时间离散数字信号,可能以格雷码形式输出;而x[n]为以二进制补码形式输出的编码器信号[7]。
获得了最广泛使用的采样方法,即均匀采样或周期性采样。采用此方法,我们每隔Ts秒对连续时间信号进行采样,可定义为

其中x(t)为输入的连续时间信号, x[n]为输出的离散时间信号,Ts为采样周期, fs=1/Ts为采样频率。
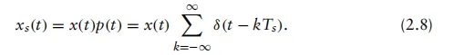
均匀采样操作的等效模型如图2.6(a)所示,其中连续时间信号x(t)与冲激列p(t)相乘,形成采样信号xs(t),可定义为

其中信号p(t)称为采样函数。
采样函数被假定为一系列窄脉冲,其取值仅为零或一。因此,当p(t) =1时,xs(t)=x(t);当p(t)=0时,xs(t)=0。
由于p(t)=1仅在时刻集合Ts出现,故得到的xs(t) =x(nTs) =x[n],这证明了它确实是均匀采样操作的等效模型。
该模型将帮助我们在第2.2.2节中推导均匀采样的频域表示。

图 2.6 均匀采样操作的等效模型。(a) 将连续时间信号 x(t)与周期性脉冲 p(t)相乘,形成采样信号 xs(t);(b) 周期性脉冲 p(t)。
2.2.2 均匀采样的频域表示
由于在频域推导奈奎斯特采样定理更为简便,本节将尝试用频域表示均匀采样过程。
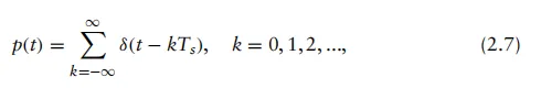
根据图2.6(b),采样函数p(t)定义为

在时刻集合kTs处,有p(t) =1。 根据文献[8], p(t)是由狄拉克δ函数构成的狄拉克梳状函数。
将(2.7)代入(2.6)得:

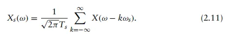
为了理解频域中的采样过程,需要对xs(t)进行傅里叶变换。根据表2.1中的频域卷积性质,时域乘法对应频域卷积。因此,x(t)与p(t)的乘法将对应X(ω)与P(ω)的卷积:

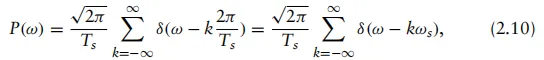
其中X(ω)为x(t)的傅里叶变换, P(ω)为p(t)的傅里叶变换。狄拉克梳状函数的傅里叶变换仍为狄拉克梳状函数[8],即

其中ωs=2π fs,代表采样频率。对位于脉冲位置的一系列德尔塔函数脉冲执行卷积,得到

方程(2.11)表明,均匀采样会产生输入信号傅里叶变换的镜像,这些镜像以采样频率fs为周期重复。
2.2.3 奈奎斯特采样定理
基于(2.11),我们绘制了原始信号x(t)和采样信号xs(t)在频域上的频谱,如图2.7所示。假设原始信号的带宽为[−fh, fh],如图2.7(a)所示。此处暂不考虑信号振幅,故用A和As来表示。假设采样频率为fs,则采样信号将在位置kfs处产生副本。
为了从采样信号重建原始信号,我们将对采样信号施加低通滤波器,尝试从Xs(f)中提取n=0项,如图2.7(b)所示。因此,完成无误差重建的条件是Xs(f)在f=±fs处的频谱部分与在f=0处的频谱部分不发生重叠。换言之,这要求fs−fh>fh,或fs>2 fh,从而导出奈奎斯特采样定理。
奈奎斯特采样定理适用于带限信号,即信号x(t)的光谱分量不存在于频率B赫兹以上[9]。即,

奈奎斯特采样定理指出,对于一个带限到B赫兹的实信号x(t),可以通过以R>2B样本每秒的均匀采样率采样,做到无误差重建。该最小采样频率Fs=2B赫兹,称为奈奎斯特频率或奈奎斯特采样率。对应的采样间隔为T=1/2B,称为奈奎斯特采样间隔[1]。 一个带宽为B赫兹的信号,当其采样频率低于奈奎斯特频率2B(即采样间隔 T >1/2B)时,称该信号为欠采样。

图2.7原始信号 x(t)与采样信号 xs(t)在频域中的频谱。(a) 原始连续时间信号 x(t)的频谱,带宽为−fh至fh,振幅为A。 (b) 数字采样信号 xs(t)的频谱, fs > fh,满足奈奎斯特采样定理。(c) 数字采样信号xs(t)的频谱, fs< fh,不满足奈奎斯特采样定理,存在混叠现象。
当信号采样不足时,其频谱出现重叠的频谱尾部或镜像, Xs(f)不再包含完整的频谱信息,且无法从采样信号中恢复 x(t)。在此情况下,尾部频谱不会归零,而是折叠回到表观频谱上。这种尾部频谱的反转称为频谱折叠或混叠,如图2.7(c)所示[10]。
MATLAB实践示例:现通过计算机仿真说明,奈奎斯特判据要求采样频率至少为信号中最高频率的两倍,否则信号信息将丢失。
此外,在第2.5.1节中,所谓的混叠现象将发生,频率会折叠回第一个奈奎斯特频带。为了描述混叠的影响,我们可以从时域进行分析。
考虑图2.8(a)中所示的单音正弦波的时域表示及其采样。在该例中,采样频率(fs)为

图2.8 时域中的混叠现象。两个图中的数字样本数据相同。(a) 模拟输入(FA)实线;采样频率(fs)下的数字样本数据(圆点),(b) 数字重建虚线;采样频率(fs)下的数字样本数据(圆点)。
采样频率不仅未达到模拟输入频率(FA)的两倍,实际上稍高于fs。 因此,奈奎斯特判据按定义被违反。注意,实际样本的模式在较低频率产生了混叠正弦波,如图2.8(b)所示。
代码2.2可以生成图2.8(a)和图2.8(b)中的类似图形,通过调节Fs和Fa,有助于更好地理解混叠的原理。图2.7和图2.25展示了频域内相同的效应。

2.2.4 奈奎斯特频带
奈奎斯特带宽本身定义为从直流到fs/2。然而,频谱被划分为无限多个奈奎斯特频带,每个频带的宽度等于0.5fs,如图2.9所示。频谱不会因为某些频率不被关注而终止。
这意味着在采样器(或ADC)之前需进行适当滤波,以去除那些位于奈奎斯特带宽之外但其混叠分量落入带宽内的频率成分。滤波器的性能将取决于带外信号距离fs/2的远近及所需的衰减量。
需要注意的是,在理想采样器(或ADC)输入端未进行任何输入滤波的情况下,任何位于任一奈奎斯特频带中、超过奈奎斯特带宽范围的频率成分(无论信号还是噪声)都会被混叠回第一个奈奎斯特频带。
因此,几乎所有采样型模数转换器(ADC)应用中都会采用模拟反混叠滤波器,以去除这些不需要的信号。

文章来源:威视锐科技