2. 第二章——信号与系统-2
2.5 软件定义无线电的接收技术

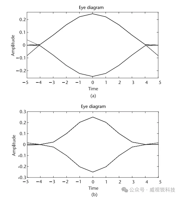
图2.23由具有矩形频率响应和三角频率响应的系统滤波后信号的眼图。(a) 矩形频率响应脉冲滤波,(b) 三角频率响应脉冲滤波。

2.5.1 奈奎斯特频带
在第2.2.3节中,我们讨论了基带采样的情况(即所有感兴趣的信号均位于第一个奈奎斯特频带内)。 图2.25展示了这样一种情况,其中采样信号频带限制在第一个奈奎斯特频带内,而原始频带的镜像出现在其他奈奎斯特频带中。考虑图2.25B所示的情形,其中采样信号频带完全位于第二个奈奎斯特频带内。对位于第一个奈奎斯特频带之外的信号进行采样的过程通常称为欠采样或谐波采样。注意,落在第一个奈奎斯特频带内的镜像信号包含原始信号的全部信息,唯独其原始位置除外。
图2.25展示了限制在第三奈奎斯特区内的采样信号。注意,落入第一奈奎斯特区的影像信号无频率反转。实际上,采样信号的频率可能位于任一唯一奈奎斯特区内,落入第一奈奎斯特区的影像信号仍为准确的表示。此时,我们可以明确重申奈奎斯特判据:信号采样率必须等于或大于其带宽的两倍,以保持全部信号信息。

图2.24 滤波系统具有矩形频率响应和三角频率响应且存在加性高斯白噪声的信号的眼图。(a) 矩形频率响应脉冲滤波,(b) 三角频率响应脉冲滤波。

图2.25 奈奎斯特区折叠
请注意,这里未提及采样信号频带在频谱中相对于采样频率的绝对位置。唯一的限制是采样信号频带必须限制在单一奈奎斯特区内(即信号不得与任何 f/2的倍数重叠)。 实际上,这正是抗混叠滤波器的主要功能。在通信领域,采样频率高于第一奈奎斯特区已逐渐普及,因为该过程等同于模拟解调。直接采样中频信号并采用数字技术处理信号正成为常用做法,从而省去了中频解调器和滤波器的需求。然而,随着中频频率的升高,对模数转换器的动态性能要求(带宽、线性度、失真等)变得更加严格,因为性能必须满足第二或第三奈奎斯特频带的要求,而不仅仅是基带。这对许多设计用于处理第一奈奎斯特频带信号的模数转换器构成挑战。因此,适用于欠采样应用的模数转换器必须能够维持在更高阶奈奎斯特频带中的动态性能。这在诸如Pluto软件定义无线电等设备中尤为重要,因其包含直流校正以消除本振泄漏。该直流校正可视为一个高通滤波器,其截止频率设定在接近直流(25 kHz)处。对于那些不在直流传输信息的调制方案,如正交相移键控和正交振幅调制,这并无影响。而对于那些在直流传递信息的调制方案,若不采用上述的欠采样技术,则难以克服这一问题。
采集直流以上的数据,然后通过数字方式下变频可提升性能。2.5.2 定点量化
理想的N位数据转换器相关的唯一误差(直流误差或交流误差)源自采样和量化过程。理想转换器在数字化信号时产生的最大误差为±1/2下边带,位于两个数字值的正中间。这一点从理想N位ADC的传递函数中可见,其为
图 2.26 理想N位ADC量化噪声
如图2.26所示,对于跨度超过数个下边带的任何交流信号,量化误差可近似为无关的锯齿波形,峰峰振幅为q,即一个下边带的权重。尽管此分析不够精确,但对大多数应用而言已足够准确。
图2.27显示了量化误差随时间的变化。再次说明,简单的锯齿波形足以作为分析的准确模型。锯齿波误差的方程为

式(2.34)的平方根,即均方根(RMS)噪声量化误差,近似为高斯分布,并在从直流到 fs/2的奈奎斯特带宽内较为均匀分布。
理论信噪比(SNR)现可在假设满幅输入正弦波 v(t)的条件下计算。
同样,此处为从直流到fs/2的带宽范围。在许多应用中,实际关注的信号占用较小的带宽(BW)。 例如,如果使用数字滤波去除BW之外的噪声成分,则需在公式中引入一个修正因子(称为过程增益),以反映信噪比因此而提升。以高于信号带宽两倍的频率进行采样的过程,通常称为过采样。事实上,过采样结合量化噪声塑形和数字滤波是西格玛-德尔塔转换器中的关键概念,相关内容将在第2.5.4节中讨论。

图2.27理想N位ADC量化噪声随时间的变化
同样,此处为从直流到fs/2的带宽范围。在许多应用中,实际关注的信号占用较小的带宽(BW)。 例如,如果使用数字滤波去除BW之外的噪声成分,则需在公式中引入一个修正因子(称为过程增益),以反映信噪比因此而提升。以高于信号带宽两倍的频率进行采样的过程,通常称为过采样。事实上,过采样结合量化噪声塑形和数字滤波是西格玛-德尔塔转换器中的关键概念,相关内容将在第2.5.4节中讨论。
MATLAB实践示例:在第2.5.2节中,我们做了如下假设[11]:
•误差样本序列e(t)是一个平稳随机过程的样本序列
•误差序列与精确样本序列v(t)无关
•误差过程的随机变量相互无关;即误差是一个白噪声过程
•误差过程的概率在量化误差范围内均匀分布
这里的基本假设是量化噪声与输入信号无关。我们将在某些常见的简单示例中看到,这一假设不成立。
在采样时钟与信号呈谐波关系的特定条件下,量化噪声会变得相关,且能量集中在信号的谐波处。在实际的模数转换器应用中,由于宽带输入信号的随机特性以及系统中通常存在少量作为抖动信号用以进一步随机化量化误差频谱的噪声,量化误差通常表现为随机噪声。理解上述要点至关重要,因为对ADC进行单音正弦波FFT测试是公认的性能评估方法之一。为了准确测量ADC的谐波失真,必须采取措施确保测试装置真正测量的是ADC的失真,而非由量化噪声相关引起的假象。
我们将基于代码2.10中的MATLAB代码变体来探讨SFDR,并围绕计算所允许的精度进一步展开讨论。我们从一个双精度浮点数开始。

表示法(MATLAB默认)。 为了保持信号无关,我们选择了3,959,297赫兹(一个质数)作为基频。
这产生了图3.28中的结果,获得了288.96分贝的SFDR测量值,这是一个非常令人印象深刻的结果。然而,像Pluto软件定义无线电这样的实际无线电设备无法接受双精度浮点数,因此必须使用定点(12位)表示法。
Pluto软件定义无线电和许多其他设备采用的定点格式为有符号格式。最高有效位为符号位,剩余11位用于幅度。在我们的MATLAB脚本中,我们使用211作为幅度,以最大化信号传输前的动态范围。因此,我们先将整数值乘以该幅度并四舍五入,然后缩放至±1以归一化振幅。
如图2.29所示,这仅提供了令人失望的45.97 dBc的SFDR性能,甚至未达到8位的性能水平。这是因为在示例中我们将信号缩放10−3,而定点数的动态范围并不与双精度浮点数的动态范围等比例缩放。
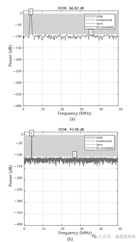
为了解决动态范围问题,我们将取消10−3的缩放,采用12位满量程。这对应于图2.30(a)中达到的86.82 dBc的出色结果。为了进一步提升此结果,我们可以利用称为FFT处理增益的概念。我们仅需通过代码2.15中的代码将样本数增加至10000,这只是改变了t的长度。
由此得到图2.30(b)的结果,SFDR提升至93.98dBc。这是通过简单增加样本数实现的,增加样本数提升了FFT频率格点数,进而降低了每个格点的累计能量。
代码2.10、代码2.11、代码2.12和代码2.15中的示例代码采用了一个无关的FA,频率为3,959,297赫兹。当它相关时会发生什么?如果我们在示例中简单将FA舍入到4兆赫(见代码2.13和2.14),即可在图2.31(a)中看到结果,其产生了82.58分贝的SFDR,相较于图2.30(b)中的之前结果损失了11.4分贝。
为恢复图2.31(b)中的该损失,我们可以采用一种称为抖动的技术。这会将积累在谐波中的能量转移,并扩散至剩余的噪声地板中。尽管噪声地板升高,但最差杂散分量降低,而该指标是计算SFDR时的关键性能参数。最终SFDR为91.68分贝,仅较图2.30(b)中的无关结果减少2.3分贝。


图2.28双精度浮点格式的SFDR。 (a) 时域浮点表示,(b) 双精度浮点的SFDR,1k点,频率为3,959,297赫兹。

图2.29 12 位缩放数的 SFDR。 (a) 时域浮点表示,(b) 缩放的 12 位定点数 SFDR,1k 点, FA为 3,959,297 赫兹。
我们不是按固定模式四舍五入,而是在四舍五入前对向量施加±0.5的偏移,从而随机向上或向下舍入。这是一种非常简单的抖动算法,但硬件中可能存在更复杂的实现。
在将数据发送到硬件之前,应理解有限位长和数据相关性的影响。硬件只会使情况变得更糟,绝不会改善。

图2.30 12位缩放数的SFDR。 (a) 满量程12位定点数SFDR,1k点, FA为3,959,297 赫兹;(b) 满量程12位定点数SFDR,10k点,FA为3,959,297 赫兹。
2.5.3 位数、成本、功耗等设计权衡
关于两个接收链(I/Q),最重要的是要牢记ADC自身的量化效应。也就是说,一个N位字表示2的N次方个可能状态,因此,一个具有固定参考的N位ADC只能有2的N次方种可能的数字输出。数据转换器的分辨率可以用多种表达方式表示:最低有效位(LSB)的权重、满量程的百万分比(ppm FS)以及毫伏(mv),即使是来自同一制造商的规格将有所不同。因此,转换器用户必须掌握不同规格类型之间的转换方法,才能有效比较设备。

图2.3112位缩放数的SFDR。 (a) 满刻度12位定点、10k点、无抖动情况下的SFDR,带宽为4,000,000 Hz;(b) 满刻度12位定点、10k点、有抖动情况下的SFDR,带宽为4,000,000 Hz。
表2.3列出了10瓦(20V峰峰值)输入条件下各分辨率最小有效位的大小。

尽管一款性能达−144分贝的24位转换器听起来很理想,但从功耗和速度角度来看并不实用。尽管存在许多24位ADC,但它们并非宽带,例如AD7177,这是一款先进的32位转换器,输出数据速率限制在5 SPS至10 kSPS,且不适用于软件定义无线电(SDR),但非常适合温度和压力测量、色谱分析或电子秤等应用[12]。 另一方面,确实存在更高速的ADC,例如AD9208,它是一款双通道14位3GSPS ADC,提供70 dBFS的SFDR,具有9 GHz模拟输入全功率带宽(第六奈奎斯特带)。 然而,AD9208的功耗超过3瓦特,超过了Pluto软件定义无线电在通过USB传输数据时的整体功耗[13]。 尽管如此,基于AD9208的系统能够提供高达12 GB/s的数据量,超过软件可处理的范围,需要在FPGA内部配置定制的信号处理硬件。类似AD9208的设备60 GHz频段的射频带宽中,单信道带宽超过2 GHz。这些高速宽带链路采用后文所述的相同概念和技术,但具备更高的数据速率,功耗更大,成本也显著提高。
然而,数字通信的基本技术学习可以通过如20 MHz带宽的Pluto软件定义无线电等经济实惠的设备完成,或者在许多情况下使用更低带宽的设备。关于模数转换器(ADC),为了12位设备适用于如Pluto软件定义无线电等无线电应用,AD9361的信号链包含如图2.32所示的可编程模拟增益。此设计使ADC输入信号得以尽可能驱动至满量程,正如我们在第2.4.1节中所学,这能够实现最佳性能。
简要回顾运算放大器理论,放大器存在两种增益:信号增益和噪声增益。我们希望提高信号强度,同时将噪声保持在尽可能低的水平。这通过在模拟域中放大信号后,再用ADC进行数字化实现,如图2.32所示。
2.5.4 Σ-Δ模数转换器
Σ-Δ模数转换器(ADC)已有50多年发展历史,但只有近年来随着高密度数字VLSI技术的出现,才能将其制造为低成本的单片集成电路。目前,Σ-ΔADC广泛应用于需要低成本、中等带宽、低功耗及高分辨率的多种场景。关于Σ-ΔADC的架构与理论已有大量论述,但多数从积分数学的深度分析开始。鉴于本书非ADC专业教材,我们将尽量避免复杂数学推导,而基于本章节先前内容进行讨论。
关于Σ-ADC,没有特别难以理解的内容。该Σ-ADC包含非常简单的模拟电子元件(比较器、电压参考、开关以及一个或多个积分器和模拟求和电路)和数字计算电路。该电路包含一个滤波器,通常(但并非总是)为低通滤波器。无需精确了解滤波器的工作原理,也能理解其功能。要理解Σ-ADC的工作原理,需要熟悉过采样、量化噪声塑形、数字滤波和降采样等概念,这些内容已在本章节前面介绍。
让我们从频域角度分析过采样技术。当直流转换存在高达1/2LSB的量化误差时,采样数据系统中则存在量化噪声。一个理想的传统N位采样ADC的均方根量化噪声为q/√12在从直流到fs/2的奈奎斯特带宽内均匀分布,其中q为一个LSB的值,如图2.33(a)所示。因此,其满幅正弦波输入条件下的信噪比为 (6.02N + 1.76)dB。如果ADC性能不理想,其噪声高于理论最小量化噪声,则其有效分辨率将低于N位。其实际分辨率,通常称为有效位数(ENOB),定义为


图2.33过采样、数字滤波、噪声整形与降采样在 Σ- ADC中的应用。
实际上,ENOB通过测量信噪失真比(SINAD,或 S/(N + D))计算,即RMS信号振幅与所有其他光谱成分(包括谐波但不含直流分量)的平方和均值的比值,并对非满量程输入信号进行校正[6]。我们可以修改式(2.39),以考虑满量程振幅AFS和实际输入振幅AIN,表达为

若选用远高于基频的采样率 Kfs(见图2.33[b]),RMS量化噪声保持q/√12但噪声现在分布于更宽的带宽范围内带宽从直流至Kfs/2。如果随后对输出应用数字低通滤波器(LPF),则可以去除大部分量化噪声而不影响目标信号,从而提高有效位数(ENOB)。因此,可用低分辨率ADC实现高分辨率的A/D转换。因子K通常称为过采样比。应注意,过采样另一个附加优势是放宽了模拟抗混叠滤波器的设计要求。
由于数字输出滤波器降低了带宽,输出数据速率可低于原采样率(Kfs),仍符合奈奎斯特准则。此过程通过输出每第M个结果并舍弃其余数据来实现。该过程称为按因子M进行降采样。只要降采样不违反奈奎斯特准则,降采样不会导致任何信息丢失(见图2.33[b])。 对于给定的输入频率,更高阶的模拟滤波器提供更强的衰减。在采取适当预防措施的条件下,Σ-调制器亦然。通过在Σ-调制器中使用多级积分和求和级联,可以实现更高阶数。如图2.34所示,对于给定的过采样比,量化噪声塑形能够实现更优的有效位数(ENOB)。
Pluto软件定义无线电中AD9363所用的Σ-ADC为四阶,如图2.35所示,并在模拟器件公司收发器支持Simulink模型中有详细描述。如所见,现实总是比理论或一阶近似更为复杂。
文章来源:威视锐科技