3. 通信中的概率-2
3.3 通信系统中连续随机事件的建模
正如本章节前面所述,数学上可以计算由离散随机变量描述的通信系统中随机事件发生的概率,即:

其中X为离散随机变量,a与b均为采样间隔的子集边界。然而,假设现在X为连续随机变量,其取值覆盖区间(a, b)内的所有连续值。为了计算此情况下的同一概率,我们可以将区间(a, b)内以采样间隔△x划分的无限多个点进行求和,从而实现该情景。
通信系统中包含众多随机因素,每个因素可以产生连续的可能输出值。正如本章节后面将讨论的,其中一个用连续随机变量表示的因素是传输信道中引入的噪声。假设该噪声可以用无限多个样本表示,因此我们的△x变为

图3.3二进制信道误差概率,当零位被正确接收的概率为0.95,一位被正确接收的概率为0.99。注意传输中1的比例为40%,0的比例为60%。1=总计,2=发送1,3=发送0。
极其微小,最终△x收敛为dx,且式(3.19)中的求和变为积分表达式。因此,我们可以用下式表示连续随机变量模拟噪声产生的输出值在区间a 与b之间的概率

其中f(t)称为概率密度函数(PDF)。 注意,PDF是本章节之前讨论的概率质量函数(PMF)的连续对应形式。
此外,通常我们可以使用PDF通过下式表示连续随机变量的概率

点对最终的概率度量无影响。最后,表3.3中列出了几种常用的概率密度函数,包括均匀、高斯及指数随机变量。注意,高斯随机变量常用于描述通信信道中引入噪声的随机性,而指数随机变量则用于介质访问控制协议中,以帮助在两个或多个无线系统通过基于竞争的机制尝试在同一无线信道上传输时提供随机退避时长。
类似于单个离散随机变量的期望,对于具有概率密度函数f(x)的连续随机变量X,其期望可以通过下述表达式计算:

其中,g(.)为作用于随机变量X的某个实值函数。
许多实际应用中关注的随机变量并非独立,一个事件的结果往往可能依赖于或受到另一个事件结果的影响。因此,在处理涉及多个随机变量的问题时,有时需要计算条件概率和条件期望。
与离散随机变量的条件概率不同,连续随机变量的条件概率需采用另一种定义方式,因为单个精确点的概率为零;

即, P(X=x) =0。 因此,如果我们采用离散随机变量条件概率的定义,如式(3.9)所示:

我们发现当 P(X=x) =0时,会出现除零情形。因此,我们需要确定另一种适用于连续随机变量框架下的条件概率(及条件期望)定义。
可以证明,为了计算条件概率,必须采用条件密度[1],其定义为

其中 fX(x) >0。 因此,利用条件密度,我们现在可以通过求解以下表达式计算条件概率,避免除零情形:

此外,我们可以将全概率法则定义如下:

其中我们通过X的概率密度函数对所有条件概率加权,然后将其积分得到事件Y可以对连续随机变量采用一种代换定律,其定义为∈C的总体概率。最后,正如离散随机变量的情况一样,处理条件概率时,我们可以对连续随机变量采用一种代换定律,其定义为

注意,如果X和Y相互独立,则联合密度函数可分解,从而得到条件密度的以下表达式:

这表明当两个随机变量相互独立时,无需以一个事件作为条件去考虑另一个事件。
同样,连续随机变量的条件期望定义为以下利用条件密度函数的表达式,即,

此外,条件期望的全概率法则表示为

条件期望的代换定律定义为

3.3.1 累积分布函数
对于描述通信系统中随机元素的随机变量的概率密度函数(PDF)和概率质量函数(PMF),有时可视化累积分布函数(CDF)十分重要,尤其因为它提供了随机变量概率行为的另一种视角。此外,累积分布函数有时可用以解决通过其他定义难以处理的问题。
从数学上讲,我们可以通过以下表达式定义累积分布函数:

该函数描述了由随机变量X所代表的实验结果小于或等于虚拟变量x的概率。
例如,假设我们想用图3.4(a)所示的PDF计算概率 P(a≤X<b)。一种快速评估该概率的方法是利用该分布的尾概率;即 P(X<a)(见图3.4[b])和 P(X<b)(见图3.4[c])。
根据式(3.33),注意这些尾概率实际上是随机变量X的累积分布函数,其中FX(a)=P(X<a)且FX(b)=P(X<b)。 因此,鉴于我们只关注概率密度函数中这两个尾概率不重叠的区域,可以计算以下概率:

实际所需的仅为随机变量X的累积分布函数在x=a和x=b处的值。
累积分布函数(CDF)的几个基础特性包括: FX(x)的取值介于零与一之间,且FX(x)为非递减函数;that is, FX(x1)≤FX(x2) if x1≤x2. 此外,概率密度函数(PDF)是累积分布函数关于虚拟变量x的导数,定义如下:


图3.4 示例说明如何利用累积分布函数获得尾概率 P(X<a)和P(X<b),以快速计算P(a≤X<b)。 (a) 需积分求得P(a≤X<b)的随机变量 X概率密度函数(PDF)区域;(b) 需积分求得P(X<a)的概率密度函数区域;(c) 需积分求得P(X<b)的概率密度函数区域。

累积分布函数的重要作用之一是精确定义通信系统中随机元素的概率特性。噪声产生、信息源的二进制输出以及多用户对无线信道的随机接入均可通过累积分布函数精确描述。因此,在计算机仿真中模拟这些现象时,我们采用基于这些累积分布函数之一的随机数生成器(RNG)。在MATLAB计算机仿真环境中,存在多种随机数生成器可用于通信系统实验,包括基于均匀、高斯(正态)和莱利随机变量的生成器。这些随机变量可以通过MATLAB中的rand和randn函数生成,也可以将它们组合以创建其他随机变量。例如,代码3.3中的MATLAB代码生成了三个随机值向量,这些随机值的统计特性分别等同于均匀、高斯和瑞利随机变量。此外,利用这些随机数生成器(RNG)产生的随机值,我们可以确定概率密度函数,进而生成累积分布函数,并计算这些随机变量在0.7至1.0之间取值的概率。
在MATLAB中,获得具有均匀和高斯分布的数值,只需使用rand和randn函数即可。如果生成大量这些随机值,就可以观察到均匀和高斯概率密度函数,如图3.5(a)和3.5(c)所示。由于累积分布函数(CDF)是概率密度函数从负无穷到正无穷的逐步积累,因此也可以根据概率密度函数数据轻松生成,如图所示。

对于图3.5(b)和3.5(d)中的均匀和高斯随机值。对于由莱利随机变量产生的值,一种快速生成方法是取两个独立且服从相同分布(i.i.d.)的高斯随机变量,对两者分别平方后求和,再对其和开平方。通过该操作,在生成大量样本的情况下,能够如图3.5(e)和3.5(f)所示,构造出莱利随机变量的概率密度函数(PDF)和累积分布函数(CDF)。需要指出的是,若要计算由这些函数随机生成的值位于0.7至1.0之间的概率,只需将该区间内的概率密度值求和,或取累积分布函数在端点处的值并相减。
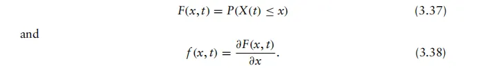
3.4 通信系统中的时变随机性
到目前为止,我们一直在研究如何对概率特性随时间保持不变的随机现象进行建模。尽管如此,

图 3.5 各种累积分布函数及其对应的概率密度函数。(a) 均匀概率密度函数, (b) 均匀累积分布函数, (c) 高斯概率密度函数, (d) 高斯累积分布函数, (e) 雷利概率密度函数, 以及 (f) 雷利累积分布函数。
虽然简化了这些模型的数学推导,但这可能无法准确描述随机现象。例如,信息来源的二进制输出值可能随时间变化,具体取决于所编码的真实世界数据,如动态城市环境中的安防摄像机录象。
或者计算机上人类用户的互联网流量。因此,有必要对这些同时也是时间函数的随机现象建立更为全面的数学描述。我们称这些描述为随机过程或随机过程。随机过程是一族依赖参数t和ω的时域函数;即我们可以通过函数定义一个随机过程:

式左侧是随机过程的简写表示,隐含假设存在从样本空间Ω到实数的结果ω的映射。注意,ω的定义域是Ω而t的定义域对于连续时间随机过程是R,对于离散时间随机过程是Z。 图3.6说明了随机过程由一族时域函数组成的情形。
假设我们有一个在每一时刻t不可数无限的随机过程。在此情况下,我们可定义其一阶分布函数F(x, t)及一阶密度函数f(x, t)如下:

为确定随机过程的统计特性,需借助函数F(x1,...,xn;t1 ,...,tn)的相关知识。然而,在大多数通信系统的应用中,实际只需某些特定的均值。例如,对于随机过程而言,最常用的统计特征之一是均值函数,其中随机过程X(t , ω)的均值函数µX(t)是随机过程在特定时刻t的期望值。这可以用数学表达式表示为

另一个对随机过程X(t, ω)有用的统计特征工具是自相关函数RXX(t1,t2),用于评估

图3.6 随机过程 X(t, ω)的示意图
随机过程X(t, ω)在两个不同时刻t1和t2之间的相关程度。我们可以用下列表达式对其进行数学定义

注意,RXX(t1,t2)的对角线值即为X(t,ω)的平均功率;即,

关于自相关函数的其他若干有用性质和观察包括以下内容:

自相关函数的一个扩展是随机过程X(t, ω)在时刻t1和t2的自协方差函数CXX(t1, t2),它表示该随机过程在这两个时刻的协方差。数学上,我们可以用以下表达式表示自协方差函数。

注意,当t=t2时,自协方差函数即为随机过程X(t, ω)的方差。此外,我们有时可以使用称为相关系数的归一化度量来表示随机过程 X(t, ω)的自协方差函数,该相关系数定义为

文章来源:威视锐科技









