4.3 比特误码概率
衡量数字通信系统性能的常用定量指标之一是误码率(BER)概率,即传输的位被错误解码的概率。在评估数字通信系统设计是否满足具体应用(如语音、多媒体或数据)的误差鲁棒性要求时,该度量极为重要。此外,量化误差性能的度量对于比较不同数字通信设计亦十分有益。因此,本节将对误码率(BER)概念作数学上的介绍。
假设信号si(t), i=1, 2通过加性高斯白噪声信道传输,噪声信号为n(t),接收机截获了信号r(t)。 接收机的任务是判定发射机发送的是s1(t)还是 s2(t)。
鉴于发送s1(t)或s2(t)完全是随机事件,接收机对发射机发送内容的唯一信息为观测到的截获信号 r(t),该信号包含上述任一信号及加性高斯白噪声信道引入的噪声。
鉴于此情形,我们采用假设检验[2]的概念,以建立一个框架,使接收机能够根据截获信号r(t)的观测,判断是否发送了s1(t)或s2(t)。 因此,令我们采用以下假设检验框架:

其中H0和H1分别表示假设0和假设1。
利用该框架,下一步我们希望建立一个判决规则,使接收机能够根据截获信号选择所发送的波形。假设我们认为s1(t)被发送。一般而言,我们可以通过以下表达式确定两个信号x(t)和y(t)在时间间隔0≤t≤T 内的相关程度:

因此,给定观察到r(t),我们关于是否传输了s1(t)或s2(t)的判决规则定义为

其中假设已传输的是s1(t)。 回顾相关性告诉我们一个波形与另一个波形的相似程度。因此,如果接收机已知s1(t)和s2(t)的波形,我们即可判断这两个波形中哪个与r(t)的相关性更高。鉴于假设传输了s1(t),理想情况下接收信号r(t)应当与s1(t)的相关性高于s2(t)。
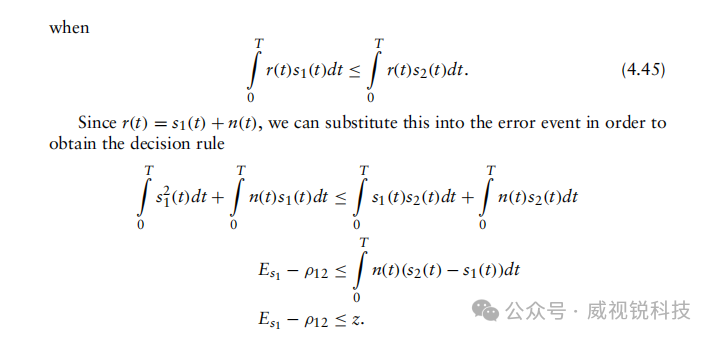
另一方面,如果在传输信道中引入失真、干扰和/或噪声,导致发射信号波形遭到破坏,会出现什么情况?当发射信号波形被严重破坏,以致它与另一可能的信号波形相关性更高时,接收机可能选择错误的波形,从而产生误码事件。换言之,假设传输了s1(t),误码事件发生在

从该表达式可以观察到,Es1和ρ12均为确定性量。另一方面,z基于传输信道引入的噪声,因此它是一个随机量,需要进行相应的表征。由于n (t)是高斯随机变量,因此z也是高斯随机变量。这是因为积分过程等价于对无限多个样本数的求和,且由于被求和的随机变量均为高斯随机变量,结果也必然是高斯随机变量。设z∼N (0, σ^2),现需计算z的方差σ^2,计算过程如下:

在确定了确定性和随机量特性后,我们即可进行比特误码概率的推导。在已传输“1”时,误差发生的概率;即P(e|1)等于

其中,Q函数定义为

下一步是通过最小化P(e|1)来优化比特误码概率,该目标可通过优化相关项ρ12实现。直观而言,我们做出的最佳选择是在s2(t)=−s1(t),此时有ρ12=−E。因此,该结果推导出

在处理构成调制方案的大量信号波形时,误码率Pe表示为各对误差概率的和;即一个接收符号被判定为另一个特定接收符号的概率。当si(t) 被传输时,解码为sj(t) 的成对误差概率为

其中N0为噪声的方差。这里需要特别指出的是,我们假设噪声为加性高斯白噪声,因为Q函数专门适用于高斯随机变量。因此,Pe的完整表达式可表示为

其中关系式的后半部分是所有单个成对误差概率的求和。
MATLAB实践示例:我们此前已观察到,噪声信道对接收信号星座产生的影响,其中信号星座点对应于调制方案中的特定符号,可能被移至其他邻近的信号星座点,因而存在在接收机端被错误解码的风险。在以下MATLAB脚本中,我们将把信号星座点的偏移转换为实际的误码率值,以量化信道所引入噪声的实际严重程度。以下代码采用最近邻方法在接收机处对符号进行解码,其中被噪声扰乱的接收信号星座点通过映射到最邻近的原始发射信号星座点来完成解码。利用欧氏距离,我们可以计算接收信号星座点与所有可能信号星座点之间的距离,将其映射至欧氏距离最短的信号星座点,并将符号解码为对应的二进制码字。
借助此MATLAB脚本及基于欧氏距离的最近邻判决方法,我们能够解码通过噪声信道传输的接收信息。然而,由于噪声有时足够显著,使符号更接近另一信号星座点,因此应预期会有部分符号被错误解码的情况出现。图4.15展示了我们针对4-PAM、4-QAM和QPSK调制方案的最近邻解码方案的误码率结果。尽管前两种调制方案的误码不大,但QPSK调制方案存在大量错误判决。这是由于信号星座点的间距所致,QPSK信号星座点相比其他两种调制方案更为接近。因此,在相同噪声条件下,QPSK调制的性能明显逊于另外两种方案。
4.3.1 误差界定
计算每个成对误差概率并不总是切实可行。通过仅计算与感兴趣点距离在一定范围内的点的成对误差,有可能构造误码概率P的上下界。考虑Q函数Q(.)的特性。随着Q(.)输入的增加,Q函数的输出趋近于零。您会发现,计算距离较远点的成对误差概率对总误差概率Pe的贡献可忽略不计,但这可以显著节省时间和计算周期。因此,P(e)的准确估计可以通过以下界限计算得到。
这些上下界可以表示为

其中,I是信号星座中所有与信号波形j紧邻的信号波形集合。为了准确评估通信系统的性能,必须模拟直到确认一定数量的符号误差[3]。 在大多数情况下,100个误差可提供95%的置信区间,本书后续内容将采用此方法来表征任何待评估数字通信系统的位误差率。

MATLAB实践示例:我们此前已经观察了三种简单通信系统在噪声环境下采用不同调制方案的性能表现。虽然图4.15中的结果颇具启发性,但我们通常希望观察通信系统在更广泛的条件下,尤其是噪声强度变化时的性能表现。在本MATLAB脚本中,我们考察了一个简单二进制通信系统在具有不同噪声等级的多种信道环境中的性能。

本分析的最终结果旨在探讨加性高斯白噪声信道下的传输可靠性,被称为瀑布曲线,如图4.16所示。瀑布曲线被数字通信领域的研究人员和设计师广泛用于表征通信系统在噪声环境中的误差鲁棒性。
之所以称这些图为瀑布曲线,是因为无论通过理论分析还是实验(计算机仿真或硬件测试)生成,其形状均呈现瀑布状。x轴表示操作环境的信噪比,是衡量信道中噪声强度的指标。
y轴表示比特误码概率,即破坏位数量与传输总位数之比。在图4.16中,我们不仅展示了平均误码率曲线,还标示了平均值上下的标准差,以明确所用生成这些曲线方法的置信度。由于采用蒙特卡洛方法生成传输并用加性噪声引入位误差,必须确保实验运行时间足够长,以保证性能结果的可靠性(例如,若实验仅出现一个位误差则不足以评估)。

关于该通信系统的误码率准确评估,该统计方法并不充分。因此,标准差曲线接近平均误码率曲线表明实验中使用了足够数量的位,且获得了足够数量的错误。需注意,对于不同的信噪比(SNR)值,即使传输了相同总数的位,获得的错误数也可能不同。因此,为了获得足够的位错误数量,通常需要在较高信噪比值下传输更多的位。
文章来源:威视锐科技