6.1 匹配滤波
在数字通信理论中,匹配滤波通常在发射端称为脉冲整形,在接收端称为匹配滤波,

参考文献。这些技术的目标包括三方面:第一,使信号适合通过通信信道传输,通过限制其有效带宽;第二,提高接收波形的信噪比(SNR);第三,减少多径信道和非线性引起的符号间干扰(ISI)。脉冲整形已在第2.7.5节中讨论,本文将从稍有不同的角度重新审视该主题,重点关注这些滤波器的实际应用。
通过对符号进行滤波,可以减小相位和频率的剧烈跳变,从而获得更加紧凑且频谱效率更高的信号。图6.2展示了一个二进制差分相移键控(DBPSK)信号在经过发射滤波器滤波前后的频率表示的简单示例。如图所示,信号的有效带宽得到了减少,这主要得益于发射机施加的上采样/插值处理。由于时间和频率成反比关系,因此带宽得以减小。这些滤波阶段的实现通常会对信号进行上采样和降采样,从而减少其有效带宽。然而,上采样固有地增加了符号的所谓表面积,使符号更容易判定,因为接收机将拥有其多个副本。因此,我们以带宽为代价换取了恢复能力,因为数据虽然以相同速率由发射机产生,但不会占用全部可用带宽。这些速率变换(上采样/降采样)操作通常在匹配滤波阶段完成,因为利用单个滤波器同时执行这两种操作更为高效。
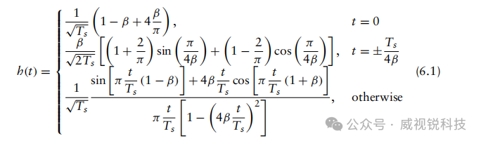
用于生成此图的滤波器为平方根升余弦(SRRC)滤波器,该滤波器是通信系统中常用的一种滤波器。在第2.7.5节中提供了升余弦(RC)滤波器,但更常见的SRRC滤波器的冲激响应为:

其中Ts为符号周期,且β∈[0, 1]为滚降因子。在实际应用中,这些滤波器将按照图6.3所示的两种方式布置。首先,可以在发射机端设置一个单独的RC滤波器,或者在发射机和接收机两端各放置一个SRRC滤波器。这两种方案均产生奈奎斯特滤波器信号排列,以减少或消除符号间干扰(ISI)。关于如何选择β和Ts的详细内容将在第8.2节中讨论。不过,我们通过图6.4眼图研究了β的影响,并可以清晰观察到β取不同滚降系数[0.3, 0.99]时的时域效应。

这些结果中,信号在发射机端通过了SRRC滤波器,经过信噪比为27分贝的加性高斯白噪声信道,并在接收机端通过SRRC滤波器。使用较高的信噪比以保持眼图开启状态,并消除噪声对最终判决的限制影响。在判决时刻200和400,符号在两种情况下均明确定义,但当β=0.99时,转换过程中的噪声更少。然而,如图2.52所示,当β=0.99时,频域外带包含更多能量,这可能是不期望的。
另外,我们可以参考图6.5中关于β的冲激响应,比较RC和SRRC滤波器的响应。你会注意到,与RC滤波器不同,其冲激响应在Ts的间隔处不为零。然而,发射机和接收机处的SRRC滤波器的复合响应将在Ts的间隔处出现零点,类似于RC滤波器。使用SRRC是因为它是一种奈奎斯特滤波器,正如第2章节所述,在正确采样时能够实现零ISI[1]。
我们可以通过在信道中引入简单的非线性,结合第2.4.1节介绍的眼图,来演示ISI的影响。
非线性会引起振幅和相位失真,这种情况可能发生在削波或发射放大器接近其工作极限时。有关所用模型的详细信息,请参阅[2],但也存在如[3]所述的其他模型。在图6.6中,我们观察到ISI的影响,眼图变得收缩,准确采样变得难以判断。在第9章节讨论均衡时,我们将再次回顾ISI效应。
如前所述,速率转换通常发生在这些发射或接收滤波器中。因此,可以使用多相滤波器,其中SRRC滤波器的抽头被应用于多相滤波器的各个支路。这是一种非常高效的实现方式,因为抽头将在较低的采样率下应用,

在多相结构中,插值之前或降采样之后,减少所需乘法运算次数。
我们要讨论并深入分析的匹配滤波器的最后一个方面是信噪比最大化。该论点逻辑上源自相关的概念。由于脉冲整形滤波后的信号与脉冲整形滤波器相关,而非噪声,匹配滤波会实现信噪比最大化,在接收脉冲的中心位置产生峰值。我们在图6.7中演示了这一效应,该图展示了在加性高斯白噪声环境下,有无脉冲整形传输的数据。图6.7(b)中间的图展示了即使在高噪声条件下,仍能观察到与原始发射序列高度相关的信号。
然而,没有脉冲整形时,即使目视也难以评估发射脉冲。在图6.7(c)的第三幅图中,即使未引入力时偏移,我们仍观察到了解调误差。
6.2 时序误差
发射机与接收机之间的时序误差概念简单易懂,但在通信系统中却难以直观展示和调试。从最基本的角度来看,符号时序同步的目的是对齐两个独立通信设备的时钟信号或采样时刻。图6.8(a)中,我们以一个简单示例说明,将发射端和接收端节点的时钟信号及待采样输入信号重叠。采样在时钟信号上升沿进行,最佳时序为发射机时钟。接收机引入了小于一个时钟周期的延迟τ。 由于该延迟小于一个采样周期,因此称为分数延迟。该延迟导致信号在错误位置采样,最终令解调信号出现误差。图6.8(b)显示了正确符号与接收机解调符号的比较,第二次跳变处出现明显误差。
在数学上,我们可以将此偏移接收信号r建模为

其中,x为发送符号,h为发送滤波器的脉冲形状,τ为分数偏移,Ts为采样周期, n为采样索引,且v为加性信道噪声。接收信号r通过接收匹配滤波器后,源符号间的关系为

其中hA=h(t)∗hbar(−t)是发射滤波器及其共轭的自相关,作用于源数据x,vh是成形噪声,y是输出符号。这展示了匹配滤波与相关的概念。你会注意到延迟τ也有索引,因为该延迟会发生变化,原因是发射机和接收机的振荡器频率并不完全相同。因此,随着时间推移,这种时序差异会发生漂移。然而,在实际射频通信系统中,符号间的τ变化应相对于设备的采样率较小。

如第6.1节所述,我们将在发射滤波器阶段对待发送的信号进行插值处理,然后实际发送该信号。尽管这会降低系统吞吐量,但它为接收机提供更多数据以做出判断,无需对信号本身进行过采样在MATLAB中,我们将使用comm.RaisedCosineTransmitFilter,该函数首先采用多相插值器进行信号上采样,并应用所需的RC或SRRC抽头。

上采样因子N,也称为每符号样本数,将根据所采用的恢复算法及系统所需的数据速率进行选择。通常,增加N可以在一定程度上改善接收机的恢复过程,但这也会减少有效带宽,迫使硬件以更高速率运行以实现相同吞吐量。
接下来,若从星座图角度考虑时序误差,将观察到符号的聚集或散布现象。图6.9(a)展示了模拟的时序偏移(τ)为0.2N和0.5N,其中 N为每符号样本数。偏移为0.5N为最差情况,因为正好位于两个符号之间。图6.9(b)展示了经单个Pluto软件定义无线电回环传输的单个QPSK符号。可清晰观察到类似的聚集现象及因发射链与接收链缺乏相位同步导致的旋转。此聚类现象产生的原因是接收机实际上对样本之间的过渡进行了采样。
例如,若符号y(n)和y(n+1)分别为 [1+ i]和 [−1− i]。
那么若在时间点n+0.5采样,所得点将接近零。

接收机需估计未知延迟τ ,以确保后续的正确解调。修正偏移的一个粗略但简便的方法是利用多相滤波器对信号进行分数延迟重采样。
我们将用到dsp.VariableFractionalDelay,该函数通过多相滤波器实现给定延迟。我们可以将此方法与Pluto软件定义无线电结合使用,以演示为校正偏移应提供的不同延迟。在正确的τˆ值处,即τˆ+τ=kTs且k=Z≥0时,星座图将呈现四个不同的点。
图6.10中使用了四个示例延迟作为估计值,以校正单个Pluto软件定义无线电回环过程中的时序错配。这四个实例来自上述MATLAB脚本。

文章来源:威视锐科技