作者:Bryan Angelo Borres,高级产品应用工程师
摘要
在依据工业功能安全标准进行合规评估时,对安全相关系统的元器件可靠性进行预测至关重要。预测结果通常以“给定时间内的失效次数”(FIT)表示,FIT是安全性分析的重要依据,用于评估系统是否达到目标安全完整性等级。业界有多个元器件失效率数据库,可供系统集成商参考使用。本文讨论了预测集成电路(IC)失效率的三种常用技术,并介绍了ADI公司的安全应用笔记如何提供此类失效率信息。
为什么需要可靠性预测?
失效率或基本失效率是指产品在有效寿命期内单位时间的预期失效频次,通常以FIT(十亿小时内发生一次失效)为单位。图1显示了电子元器件失效的可靠性浴盆曲线模型,可分为三个阶段:早期失效阶段、有效寿命或稳定工作期间随机失效阶段、磨损老化失效阶段。本文重点关注元器件有效寿命期内的失效率。

图1.可靠性浴盆曲线1
了解电子系统中元器件的失效率对于开展可靠性预测以评估系统整体的可靠性至关重要。进行可靠性预测时,需要明确可靠性模型、失效模式假设、诊断间隔和诊断覆盖率。预测结果将作为输入信息,应用于失效模式和影响分析(FMEA)、可靠性框图(RBD)、失效树分析(FTA)等可靠性建模方法。2,3
根据功能安全的要求,为了实现安全完整性等级(SIL)目标,需要对安全相关系统的随机硬件失效进行定量可靠性预测。这一需求源自基础功能安全标准IEC 61508的第二部分,其中规定了安全相关系统(SRS)在硬件方面的具体要求。表1显示了SIL目标与SRS危险失效概率的对应关系。
表1.安全完整性等级要求与危险失效概率的对应关系2,3
安全完整性等级 | 持续性高需求率(PFH) | 低需求率(PFD) |
4 | ≥10-9至<10-8 | ≥10-5至<10-4 |
3 | ≥10-8至<10-7 | ≥10-4至<10-3 |
2 | ≥10-7至<10-6 | ≥10-3至<10-2 |
1 | ≥10-6至<10-5 | ≥10-2至<10-1 |
注:当需求率为每年一次时,PFD指标和PFH指标等效。
此外,这些失效率针对的是安全功能整体,而具体到单个集成电路(IC),其分配到的失效率限值仅为总指标的很小一部分,例如1%。
如何预测系统可靠性
业界有多个失效率数据库,可供系统集成商在设计系统时参考使用。电子和非电子元器件的失效率数据来源包括:《IEC技术报告62380: 2004》、西门子标准SN 29500、ADI元器件平均无失效时间(MTTF)数据、现场退货情况和专家判断。4
ADI元器件的MTTF数据可在analog.com上的可靠性部分中找到。在“可靠性数据和资源”下方有晶圆制造数据、组装/封装工艺数据、Arrhenius/FIT率计算器、百万分率计算器和可靠性手册。图2显示了每个资源子部分包含的内容。

图2.ADI可靠性数据和资源
为了帮助读者理解前述三个半导体失效率数据来源(侧重于Arrhenius高温工作寿命(HTOL)的ADI元器件MTTF数据、西门子标准SN 29500和IEC TR 62380:2004)之间的区别,接下来的章节将解析每种方法和相关的数据库。5,6
什么是Arrhenius HTOL?
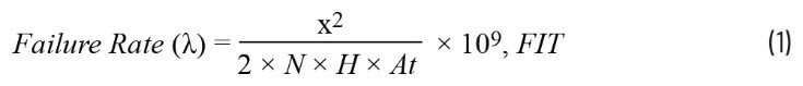
HTOL是JEDEC标准中定义的常用加速寿命测试之一,用于评估元器件失效率。HTOL测试旨在让器件在高温下运行,以加速其老化进程,从而等效地模拟其在常温(如55°C)下长时间运行的效果。因此,HTOL是一种在加速应力条件下评估半导体元器件长期可靠性的方法,比如评估元器件的平均无失效时间(MTTF)。这种测试通过加热元器件并保持正常工作电压,在较短时间内模拟元器件的整个寿命周期。
在可靠性计算的详细分析中,HTOL加速测试(125°C下1,000小时或等效条件)产生的数据需通过Arrhenius方程和0.7 eV的活化能为进行换算,得到在最终用户使用条件下的预期寿命(比如55°C下10年)。采用卡方统计分布,基于HTOL测试的样本数量,计算失效率的60%和90%置信区间。

其中:
•x2为逆卡方分布,其值取决于失效次数和置信区间
•N为HTOL测试的样本数量
•H为HTOL测试的持续时间
•At为根据Arrhenius方程计算的测试条件到使用条件的加速因子
晶圆制造数据是analog.com上提供的可靠性数据和资源之一。点击它就会呈现包括产品整体寿命测试数据摘要在内的数据。它由总样本数量、失效数量、55°C下等效器件小时数、FIT值(基于HTOL数据)及MTTF数据(60%和90%置信度)组成。示例如图3所示。
功能安全通常需要70%的置信度,因此90%的置信度可以作为一种更保守的选择直接使用,或者可以利用某种方法(例如“如何改变可靠性预测的置信度”中介绍的方法)进行转换。5

图3.来自analog.com的晶圆制造数据
西门子标准29500
SN 29500标准是一种基于查询表的可靠性预测标准,最初由西门子公司提出,现已被广泛用作ISO 13849标准的可靠性预测依据。它通过失效率来计算可靠性,其中失效率定义为在特定的环境和功能运行条件下,元器件在一定时间内平均预期发生的失效比例。该标准代表了一种保守的元器件失效率确定方法。每类元器件的参考FIT值基本上是根据特定类型元器件的现场退货情况确定的。因此,参考值会包括应用中遇到的任何类型失效,而不仅仅是上一节所述HTOL方法引起的内在失效。其中包括电气过载(EOS)所导致的失效,此失效不会在HTOL测试中使用的受控实验室环境下发生。5-8
公式2表明了SN 29500-2如何得出集成电路的失效率。首先,它提供了参考失效率,也就是标准所定义的参考条件下的元器件失效率。由于参考条件并不总是相同,因此该标准还提供了转换模型,支持根据电压、温度和漂移灵敏度等应力工作条件来计算失效率,如公式2所示。

其中:
•λref是参考条件下的失效率,与晶体管的数量成比例
•πU是电压依赖因子
•πT是温度依赖因子
•πD是漂移灵敏度因子
根据IC的特性,公式2可能有所不同。例如,当它是具有扩展工作电压范围的模拟IC时,可以使用公式2。对于所有其他具有固定工作电压的模拟IC,电压依赖因子将设置为1。对于数字CMOS-B系列,漂移灵敏度因子将设置为1。最后,对于所有其他IC,电压依赖因子和漂移灵敏度因子都将设置为1。
请注意,IEC 617099标准说明了如何根据不同使用条件调整可靠性预测,这项标准似乎是SN 29500所依据的理论基础。
《IEC技术报告62380: 2004》
IEC 62380是另一个常用的IC失效率评估标准。它于2004年发布,随后被IEC 61709取代。尽管如此,IEC 62380标准仍被汽车功能安全标准ISO 26262:2018引用,在其第11部分中继续用作电子元器件可靠性预测的参考模型。该标准将IC的失效率计算为芯片、封装和EOS失效率之和。根据IEC TR 62380和ISO 26262-11:2018,FIT计算的表达式如公式3所示。10-12

其中:
•λdie是芯片失效率,包含与晶体管数量、IC系列及所用技术、温度、工作时间、年周期影响因子等任务曲线数据相关的参数
•λpackage是封装失效率,包含与热因素、热膨胀、任务曲线的温度循环因素及IC封装相关的参数
•λoverstress是过载失效率;针对不同的外部接口,它有相应的术语定义
ADI安全应用笔记中的失效率
除了analog.com上提供的可靠性数据之外,ADI元器件的可靠性预测还可以在IC的安全应用笔记中找到。标记为支持FS的IC通常有相应的安全应用笔记。例如,LTC2933的安全应用笔记提供了根据HTOL、SN 29500和IEC 62380可靠性预测方法得出的器件FIT值,如图4、图5和图6所示。图中的表格显示了FIT值及所考虑的条件。如果具体条件不同,系统集成商可以利用表格下方的信息自行计算FIT。

图4.根据LTC2933安全应用笔记,基于Arrhenius HTOL的FIT

图5.根据LTC2933安全应用笔记,基于SN 29500的FIT

图6.根据LTC2933安全应用笔记,基于IEC 62380的FIT
结语
本文概述了三种常见的集成电路可靠性预测技术,即Arrhenius HTOL、SN 29500和IEC 62380。利用HTOL测试数据,根据Arrhenius公式进行计算,可以得出以FIT为单位的失效率。SN 29500提供了参考失效率及针对不同应力工作条件的转换模型。IEC 62380规定电子元器件的失效率为芯片失效率、封装失效率和过载失效率之和。
ADI元器件的失效率可以在analog.com上或相应的安全应用笔记中找到。安全应用笔记的优点在于,它提供了依据上述三种方法得出的元器件可靠性预测。除此之外,它还提供了计算此类FIT值所需的信息,以便系统集成商针对不同的工作条件自行重新计算。
参考文献
1 可靠性手册,ADI公司。
2 David J. Smith,“The Safety Critical Systems Handbook: A Straightforward Guide to Functional Safety: IEC 61508 (2010 Edition), IEC 61511 (2015 Edition) and Related Guidance”,Butterworth-Heinemann,2020年。
3 “IEC 61508 All Parts, Functional Safety of Electrical/Electronic/Programmable Electronic Safety-Related Systems”,国际电工委员会,2010年。
4 “IEC 61800-5-2 Annex C, Adjustable Speed Electrical Power Drive Systems—Safety Requirements—Functional: Available Failure Rate Databases”,国际电工委员会,2016年。
5 Tom Meany,“集成电路可靠性预测”,ADI公司,2021年。
6 S. Singh、S. Masade,“FIT Rate Calculations for FMEDA in ISO 26262”,ACL Digital。
7 “SN 29500 Part 2, Expected Values for Integrated Circuits”,Siemens Norm,2010年。
8 Jesus Fco.Ortiz-Yañez、Manuel Roman Pina-Monarrez、Osvaldo Monclova-Quintana,“Reliability Prediction for Automotive Electronics”,DYNA,第91卷,2024年。
9 “IEC 61709, Electric Components—Reliability—Reference Conditions for Failure Rates and Stress Models for Conversion”,国际电工委员会,2017年。
10 “IEC Technical Report 62380: Reliability Data Handbook—Universal Model for Reliability Prediction of Electronics Components, PCBs and Equipment”,国际电工委员会,2004年。
11 “ISO 26262 Part 11, Road Vehicles—Functional Safety: Guidelines on Application of ISO 26262 to Semiconductors”,国际标准化组织,2018年。
12 Dan Butnicu,“A Review of Failure Rate Calculation’s Differences Due to Package for IEC-TR-62380 vs. Other Prediction Standards”,IEEE,2021年。
# # #
作者简介
Bryan Angelo Borres是经TÜV认证的功能安全工程师,目前负责多个工业功能安全项目。作为高级电源应用工程师,他负责帮助系统集成商设计符合IEC 61508等工业功能安全标准的功能安全电源架构。最近,他成为了IEC TC65/SC65A的IEC菲律宾国家委员会和IEEE功能安全标准委员会的成员。Bryan拥有电力电子专业的研究生文凭,在设计高效、稳健的电力电子系统方面积累了近七年的丰富经验。