跳转到主要内容

干货|永磁电机选型公式,精度到底够不够用?别凭感觉选!

winniewei 提交于

做永磁电机选型、驱动设计的朋友,肯定都有过这个疑问:

网上找的选型公式,代入参数就算出了转矩、电流、温升,可实际装机后,要么电机带不动负载,要么变频器跳闸,要么温升超标——是公式错了,还是精度不够?

今天不绕弯子,全程干货直给:常用的永磁电机选型公式,精度足够工程选型,但绝对不能用来做精确设计

不同公式的精度天差地别,我按“常用优先级”逐一看透,每个公式的精度、误差来源、适用场景都讲透,新手也能避开选型坑,直接套用不踩雷!

核心结论先记牢:选型公式够用、可靠、不坑人;但想精确算寿命、dv/dt冲击、高温退磁,必须靠有限元仿真或实际测试,公式只能帮你“筛选项”,不能帮你“做精算”。

一、核心功率/转矩公式:精度最高,放心用

这是选型最常用、最核心的公式,没有之一,也是唯一能直接放心套用的公式。

核心公式(额定转矩):

1.png

反算公式(额定功率):

2.png

精度:≈99%+(几乎无误差)

关键说明:这不是经验公式,是定义式——功率、转矩、转速的内在关系是固定的,只要你代入的额定功率(P_N,单位kW)、额定转速(n_N,单位r/min)是真实值,计算结果就不会有偏差。

唯一误差来源:单位换算失误(比如把转速单位写成r/s)、现场测量的功率/转速有微小偏差(比如实测转速和额定转速差1%-2%)。

适用场景:额定工况选型、负载转矩匹配、方案对比、初步确定电机规格,完全可靠,不用额外校核。

补充:峰值转矩公式(1775787777228.jpg),精度取决于过载系数K_ov的选取——按工况选对(风机/泵1.5~2.0,伺服2.0~3.0),精度可达90%+,足够匹配变频器过载能力。

二、电流、电压选型公式:精度中等偏上,够用不踩坑

这组公式主要用来匹配变频器、电缆、断路器,精度足够工程落地,不用过度纠结。

核心公式(三相相电流):

3.png

反电动势校核公式:

4.png

1. 电流公式(精度85%95%

误差来源:主要来自两个参数的估算——功率因数cosφ、效率η_N。永磁电机的cosφ一般在0.95~0.98,η_N(高效机型)在0.95~0.98,只要按厂家参数估算,误差就能控制在5%以内。

注意:弱磁运行、高转速工况下,cosφ和η会下降,公式精度会降到75%~85%,此时需适当放大电流余量(比如多留10%~15%)。

适用场景:变频器电流等级选型、电缆截面选型、断路器选型,完全够用,不用做复杂修正。

2. 反电动势公式(精度90%95%

误差来源:温度变化(磁钢磁导率随温度变化)、磁钢轻微去磁、电枢反应(电流产生的磁场干扰)、弱磁控制影响。

工程技巧:选型时按“最大转速下反电动势 < 驱动器母线电压”保守校核,哪怕有5%~10%误差,也能避免绝缘击穿、变频器过压跳闸。

适用场景:驱动器母线电压匹配、电机绝缘等级判断、dv/dt冲击初步校核(不能精确算dv/dt,仅做耐压参考)。

三、机械匹配公式:精度一般,仅做估算

这类公式主要用来判断电机动态性能,精度有限,不能做精确控制设计,仅能帮你“判断够不够用”。

核心公式(转动惯量匹配):

5.png

线速度公式(皮带/滚轮机构):

6.png

精度:70%80%

误差来源:负载惯量折算不准(比如多级传动的惯量折算遗漏)、摩擦损耗、风阻没计入、加速过程中转矩不是恒定值(实际加速转矩随转速变化)。

工程技巧:转动惯量比按保守值选(比如风机/泵取≤3,高速电机放宽到≤10),线速度估算后多留10%余量,避免电机加速无力、振动超标。

适用场景:判断电机能否带动负载加速、是否会失步、机构是否会振动,不能用来做精确的加速时间计算。

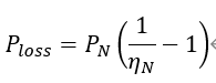
四、温升、损耗估算公式:精度较低,仅判断趋势

这类公式误差最大,只能粗略判断电机发热趋势,不能精确计算实际温升,更不能用来算电机寿命。

核心公式(总损耗):

7.png

温升估算公式:

8.png

精度:60%75%

误差来源:损耗分布复杂(铜损、铁损、机械损耗随转速、负载变化很大)、散热条件影响极大(自然冷却和强制冷却温差可达30K以上)、SiC驱动高频工况下,铁损会明显上升(公式未计入)。

注意:公式算出的温升的是“理论值”,实际温升可能比理论值高20%~30%,选型时必须留足温升余量(比如F级绝缘按≤80K校核,预留25K余量)。

适用场景:初步判断电机是否需要强制冷却、对比不同电机的发热差异,不能用来精确计算电机寿命、绝缘老化速度。

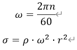
五、高速永磁电机额外校核:公式很准,但需谨慎

高速永磁电机(≥10000r/min)需要校核转子强度,用到的离心应力公式本身精度很高,但工程上不能只靠公式,必须留足安全裕度。

核心公式(离心应力):

9.png

精度:90%+

关键说明:这是力学解析公式,本身误差极小,只要代入的材料密度(ρ)、转子半径(r)、转速(n)准确,计算出的离心应力就很可靠。

工程警告:不能只看公式结果!实际应用中,必须考虑加工公差、动平衡精度、磁钢粘接强度、护环预紧力,安全系数必须放大到2.0~3.0(比如公式算出应力100MPa,材料许用应力需≥200MPa)。

适用场景:高速电机转子强度初步校核,筛选合适的转子材料、护环规格,最终必须结合有限元仿真验证。

总结:一张表看懂所有公式精度(直接收藏)

公式类型

精度范围

核心用途

注意事项

功率/转矩公式

99%+

额定工况选型、负载匹配

注意单位换算

电流/反电动势公式

85%~95%

变频器、电缆选型,耐压校核

弱磁工况留10%余量

转动惯量/线速度公式

70%~80%

动态性能估算、振动判断

惯量比按保守值选

温升/损耗公式

60%~75%

发热趋势判断、冷却方式选择

留20%~30%温升余量

高速离心应力公式

90%+

转子强度初步校核

安全系数放大2.0~3.0

最后一句话,记牢不踩坑

永磁电机选型公式,是“工程工具”不是“精确计算器”——用来筛选电机规格、匹配驱动器、判断工况可行性,完全够用;但想做精确设计、算寿命、控温升,必须靠厂家参数、有限元仿真和现场实测。

很多同行选型出错,不是公式不准,而是没留足余量、参数估算偏差太大,或是把“估算公式”当成了“精确设计公式”。

免责声明:本文系网络转载,版权归原作者所有。本文所用视频、图片、文字如涉及作品版权问题,请第一时间告知,我们将立即删除内容!本文内容为原作者观点,并不代表本站赞同其观点和对其真实性负责