跳转到主要内容

第20讲:SiC MOSFET的驱动电路设计(2)

judy 提交于

栅极驱动器是确保SiC MOSFET安全运行的关键,设计栅极驱动电路的关键点包括栅极电阻、栅极电压和布线方式等,本章节带你了解栅极驱动电压的影响以及驱动电源的要求。

栅极电压设置

栅极电压对SiC MOSFET开关特性有很大影响。如第10讲《SiC的加工工艺(2)-栅极绝缘层》所述,为了得到低电阻、特性稳定的SiC MOSFET,三菱电机基于大量的经验和数据,对制造工艺、栅极结构进行最优化设计,生产的工业SiC模块可以采用与Si器件相同的栅极电压(±15V)(除了一件产品)。


1.1 栅极正向电压影响

栅极正向电压主要影响SiC MOSFET开通特性、二极管关断特性和抗短路能力。

当栅极正向电压增加(例如VGS(+)从13.5V增加到16.5V),开通速度会变快,开通损耗降低(图1)。但是,另一方面,对管二极管关断浪涌电压增大(图2),dv/dt(max)增大(图3)。

图1:栅极正向电压对SiC MOSFET开关损耗影响.JPG

图1:栅极正向电压对SiC MOSFET开关损耗影响(FMF600DXZ-24B,Tvj=25℃,VDD=600V,ID=600A)

图2:栅极正向电压对关断浪涌电压影响.JPG

图2:栅极正向电压对关断浪涌电压影响(FMF600DXZ-24B,Tvj=25℃,VDD=600V,ID=600A)

图3:栅极正向电压.JPG

图3:栅极正向电压对dv/dt影响(FMF600DXZ-24B,Tvj=25℃,VDD=600V,ID=600A)


栅极正向电压增大,对应的漏源极通态压降变小。反之,如果栅极正向电压低于推荐值,通态压降会增加,通态损耗就会增大。但是,另一方面,栅极正向电压越大,短路电流值也越大,器件短路耐受时间就会缩短。因此,栅极正向电压应根据具体应用工况及系统可靠性要求来确定。


1.2 栅极负向电压影响

当栅极负向电压增大(例如VGS(-)从-7V增加到-15V),开关速度会变快,开关损耗降低(图4)。但是,另一方面,SiC MOSFET关断浪涌电压和二极管关断浪涌电压增大(图5),dv/dt(max)增大(图6)。

图4:栅极负向电压对SiC MOSFET开关损耗影响.JPG

图4:栅极负向电压对SiC MOSFET开关损耗影响(FMF600DXZ-24B,Tvj=25℃,VDD=600V,ID=600A)

图5:栅极负向电压对关断浪涌电压影响.JPG

图5:栅极负向电压对关断浪涌电压影响(FMF600DXZ-24B,Tvj=25℃,VDD=600V,ID=600A)

图6:栅极负向电压对dvdt影响.JPG

图6:栅极负向电压对dv/dt影响(FMF600DXZ-24B,Tvj=25℃,VDD=600V,ID=600A)

栅极驱动电源

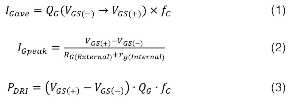
栅极驱动电源需要提供足够的栅极电流和驱动功率。图7为栅极电压和栅极电流示意图。如果栅极电压和栅极电阻RG确定,驱动电路的平均栅极电流由式(1)确定,峰值栅极电流由式(2)确定,所需的平均驱动功率按式(3)计算。

图7:栅极电压和栅极电流示意图.JPG

图7:栅极电压和栅极电流示意图

代码.JPG

文章来源:三菱电机